FrontPage

2013/03/30からのアクセス回数 11023

未整理のトランジスタ

以前はじめてのトランジスタ回路設計(以下、トランジスタ本と書きます) をPSpiceを使ってさらっていたのですが、どうもきちんと理解できていませんでした。

同じ著者の黒田氏がトラ技に書かれた特集を一冊にまとめた 実験で学ぶトランジスタ・アンプの設計 (以降、実験本と書きます)をベースに勉強をやり直してみました。 この本で使われているプリント基板と部品をまとめたパッケージがCQ出版から販売されているの 地方に住む私でも実験を楽しめました。

実験本のすばらしいところ

実験本のすばらしいところを以下にまとめてみました。

1石トランジスタ回路

トランジスタの発見が如何に大変なことだったのかを知るよい教材がNHK特集の 電子立国 2回 トランジスタの誕生 です。

トランジスタを増幅回路として使う場合、その動作範囲がきわめて狭いことを実験本の図1-8にあります。

fig1_8.png

さっと読んでいると、見過ごしてしまうかも知れませんが、この図でのきちんと増幅できるVbiasの範囲は、 600mV-635mVです。

フリーのLTSpice*1を使って実験本の図1-4を再現してみました。*2

fig1_3.png

ちょっとわかりずらいですが、.setpを使ってVbiasを0.650, 0.6186, 0.550に変えてシミュレーション した結果が上記の図です。

Vbiasがこれだけずれただけで、Sin波が上部でつぶれたり、下部で直線のようになってしまします。

安定動作点を求める

実験本では、以下の手順で安定に動作する条件を求めています。

ofig1_3.png

図1-3の回路では、無信号の時コレクターの電圧を2.5Vにすると波形が崩れない(上部や下部がカットされない)ので、コレクター電圧2.5Vになるようなコレクター電流を計算します。

$$ I_C = \frac{ V_{CC} - V_{CE} } { R_1 } = \frac{ 5 - 2.5 } {10000} = 0.25 mA $$

トランジスタ本では、\( V_{BE} = 0.6 V \) として説明していましたが、実験本ではちょっと違っていました。

fig1_6.png

トランジスタを図1-6のような簡略化したエバースモル・モデルを使って表現し、 $$ I_C = \beta_{F} I_B $$ $$ I_B = \frac{I_C}{\beta_F} \left( e^{\frac{q}{k T} V_{BE}} - 1 \right) $$ を使い、指数の部分が1よりも遙かに大きいとして、 $$ I_B = \frac{I_C}{\beta_F} e^{\frac{q}{k T} V_{BE}} $$ として、 $$ I_{C} = I_{S} e^{\frac{q}{k T} V_{BE}} $$ から、 $$ \frac{ I_C } { I_S } = e^{\frac{q}{k T} V_{BE}} $$ に変形し、両辺の対数(ln)を取ると $$ ln \left( \frac{ I_C } { I_S } \right) = \frac{q}{k T} V_{BE} $$ となり、 $$ V_{BE} = \frac{k T} {q} ln \left( \frac{ I_C } { I_S } \right) $$ が求まり、コレクター電流(\( I_C\))から\( V_{BE} \)を求めています。

から電卓代わりにSage で計算すると、\( V_{BE} = -0.615 \)と求まりました。

実際の回路

実験本では、エミッタを直接グランドに接続するタイプの例がないので、トランジスタ本の図2-13を実験してみました。

tfig2_13.png

図のコメントは独学のメモなので、間違っているかもしれません、ご了承ください。

動作点を求める

図2-14の動作点は、以下の連立方程式の解として求めることができます。

$$ \left\{ \begin{eqnarray} I_C & = & h_{FE} I_B \\ V_{CC} & = & V_{CE} + R_C ( I_B + I_C ) \\ V_{CE} & = & V_{BE} + R_{B2} I_B \end{eqnarray} \right. $$ ここで、以下の値を代入し、Sage で解くと、213.75KΩと求まります。

TLSpiceで確認

求まった値から抵抗220Kとし、回路にC1, Rb1を追加して、入力に50mVの1KHzのSin波をセットし、HBFを 120, 170, 240に変えてシミュレーションした結果を以下に示します。*3

TFig2_15.png

LTSpiceは、シミュレーションを行った後で、いろいろな部分の電圧と電流をグラフに表示できるので、試してみるといいですよ。

プリント基板を作る

トランジスタ本のすごいところは、プリント基板に回路を描いて実際に動かしているところです。

手書きのプリント基板で紹介した回路が図2_15のプリント基板です。 黒田氏はすごい人みたいですが、初っぱなの図2-16でケアレスミスをしていました。赤のマーカペンで書いた部分が抜けています。

TF2_16.png

出来上がった基板が、以下のCE01基板です。トランジスタ本は、はとめピンを付けていましたが、私はブレッドボードでテストするので、ピンを付けました。

CE01.png

作ったときは、PSoCで出力した1KHzの信号をオシロスコープで確認したのですが、今回は実験本の方法で確認してみます。

作った基板を実際に動かしてみる

実験本では、テスト用の信号発生と結果の解析にパソコンのソフトを使っています。

以下のサイトからGW150.ZIPとWS151.ZIPをダウンロードし、解凍してインストールします。

efuのページ

パソコンのイヤフォンとラインインと接続するために、以下の回路をブレッドボードに用意しました。 秋月で販売されている3.5mmジャックをブレッドボードに接続するアダプターが重宝します。

fig2_11.png

ブレッドボードでは、半固定抵抗を付けた回路が作れなかったので、10KΩと1KΩの抵抗で代用しました。

adapter.png

次に、波形発生ソフトWaveGene 1.5を起動し、Wave1を1KHzのサイン波、Wave2-4をオフにセットすると、 以下の様な波形が生成され、スピーカで聞くときれいなピーという音が聞こえます。

WG_out.png

波形測定のWaveSpectraも起動します。右端の設定ボタンをクリックして、FFTタグをクリックしてサンプル数16384、窓関数にBlackmanを選択します。*4

これで、録音ボタンを押すと以下の様に出力波形とそのスペクトルが表示されます。

CE01_out_sig.png

1KHzにカーソル持って行き、クリックすると左にCursorの値が表示されます。 上記の図ですと、-8.86dbと出ています。

チャネルを変更して、オリジナルの波形でも同様に測定すると、以下の様に表示されます。

CE01_org_sig.png

ゲインGは、26.8dbで、倍率では、21.8倍と計算されました。 $$ G = -8.86 - (-35.63) $$

CE01の周波数特性

回路のVsのACの値に1をセットし、シミュレーション設定を以下の様にAC解析に変更します。

.ac dec 20 10 100K

結果は、この回路の周波数毎のゲインが周波数特性として表示されます。

CE01_Gain_calc.png

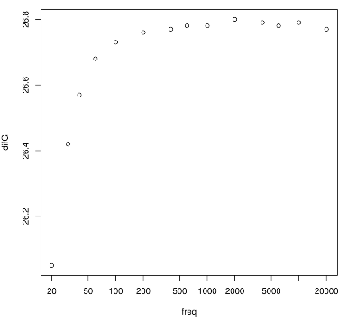
そこで、WaveGeneのサイン波の周波数を20Hzから20KHzまで適当にサンプリングして、 Sage でアンプの出力とオリジナルの信号の差を取ってプロットしたのが以下の図です。かなり計算値と近い結果になっています。

CE01_gain_real.png

周波数特性を求める簡単な方法

一生懸命プロットして大変だったのですが、入力にホワイトノイズを選択すると一発で周波数特性を求めることができます。

時間領域でフィルターをかける(たたき込み)ことは、周波数領域で窓を掛けることと同値な性質からホワイトノイズのスーリエ変換が1であることを使えば、ホワイトノイズを入力としたときの出力のスペクトルはフィルターやアンプの周波数特性そのものになります。 *5

$$ y(t) = \int^{\infty}_{-\infty} h(t') x(t-t') dt' \Leftrightarrow Y(\omega) = H(\omega)X(\omega) $$

そこで、WaveGeneの波形をホワイトノイズに変更して出力のスペクトルを見たのが、以下の図です。

CE01_Out_Spect.png

計算値のゲインの図はY軸の範囲が狭いため、10Hzあたりで落ちているように見えますが、大きなレンジで見るとさほど落ちてはいません。また、20KHzから急激に落ちているのはパソコンのデバイスのサンプリング周波数が44KHzであるため、その半分の22KHzで測定の限界に達してしまいます。

不安定なコレクタ電流対策

コレクターを直接グランドに接続するタイプでは、トランジスタの増幅率、飽和電流、温度の影響が大きく、安定した動作を得ることができません。

実験本の図2-5をLTSpiceで計算したのが、以下の図です。

fig2_5.jpg

負帰還を使う

不安定なコレクター電流を安定化するために、実験本の図2-6のようにエミッターに抵抗\(R_E\)を追加します。 *6

fig2_6.png

信号電圧を0とすると、\( V_{bias} \) は、以下のようになります。

$$ V_{bias} = V_{BE} + R_E I_E $$

上記の式を\( I_E \)について解くと

$$ I_E = \frac{V_{bias} - V_{BE}} {R_E} $$

\( V_E \) を0.6Vとすると、図2-6の エミッタ電流\( I_E \) は、

$$ I_E = \frac{1.6 - 0.6}{1000} = 1mA $$

つまり、\( R_E \)に1KΩを入れることで\( I_E \)への\(V_{BE}\)の変化の影響を軽減することで安定化しています。

動作点

動作点は、実験本式(1-8)と、

$$ I_C = I_S \left ( e^{\frac{q}{kT} V_{BE}} - 1 \right ) $$

以下の式からの交点から求めることができます。

$$ I_C = \frac{V_{bias} - V_{BE}}{R_E} $$

これを Sage でプロットすると以下の様になります。(縦軸\(I_C\)、横軸\(V_{BE}\))

fig2_7.png

図から読み取ると77℃と27℃でのコレクター電流の変換は1目盛(1mA)程度しか変化しないことが分かります。

\( V_{bias} \) の式を\( V_{BE} \)について書き直すと、

$$ V_{BE} = V_{bias} - R_E I_E $$

ですから、\( I_E \)が増えると\(V_{BE}\)は減少し、\(V_{BE} \)が減少すれば、上記の図から\(I_C\)が減少します。 これが、電流の負帰還と言われる理由です。

コメント

選択肢 投票
おもしろかった 0  
そうでもない 0  
わかりずらい 0  

皆様のご意見、ご希望をお待ちしております。


(Input image string)

*1 実験本では、SIMetrix/SIMPLISを使っていますが、ここではフリーのLTSpiceを使います
*2 filefig1_3.cir
*3 fileTFig2_14.asc
*4 私は昔の人間なのでHammingを選択したくなるのですが、黒田氏の説明ではBlackmanを選択するようにありました
*5 詳しくは、フィルタ(畳み込み)と窓(かけ算)を見てください。
*6 ほんと世の中には、頭のいい人がいるものです!

トップ   新規 一覧 単語検索 最終更新   ヘルプ   最終更新のRSS
SmartDoc